Informacija augintojams


»2025 metų žemaitukų reitingo taškai ištvermės disciplinoje

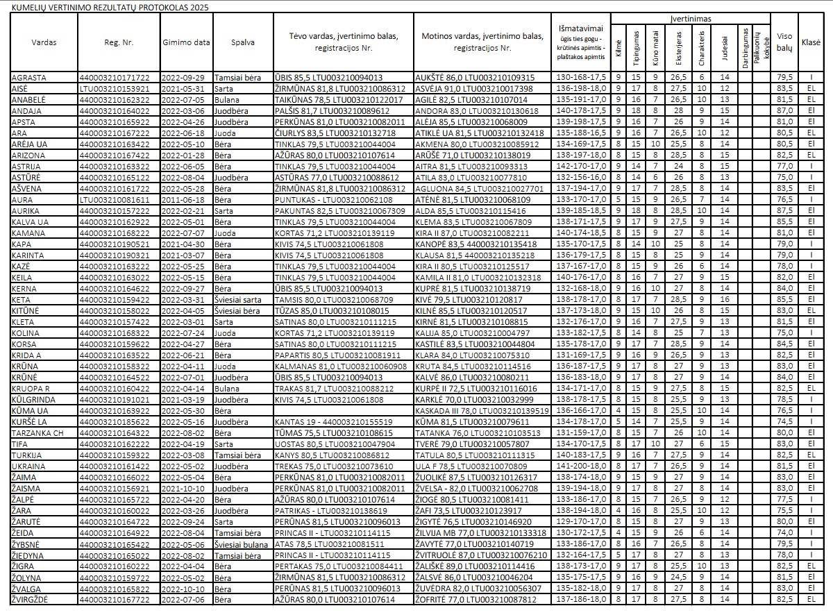
»2025 metų kumelių vertinimų rezultatai

»Licencijuoti žemaitukų veislės eržilai (atnaujinta 2025 07 17)

»Kompleksinių eržilų vertinimų-bandymų rezultatai (2025 05 22, Baisogala, Radviliškio r.)

»GALUTINIŲ PAGALBOS GAVĖJŲ PRAŠYMAS SUTEIKTI PAGALBĄ PAGAL PAGALBOS VEISLININKYSTEI TAISYKLES

»2024 metų žemaitukų reitingo taškai karietinio važiavimo disciplinoje

»2024 metų žemaitukų reitingo taškai konkūro disciplinoje

»2024 metų žemaitukų reitingo taškai ištvermės disciplinoje

»2024 metų kumelių vertinimų rezultatai

»Licencijuoti žemaitukų veislės eržilai (atnaujinta 2024 11 07)

»Kompleksinių eržilų vertinimų-bandymų rezultatai (2024 05 30, Baisogala, Radviliškio r.)

»Įsakymas dėl veterinarijos reikalavimų Lietuvoje organizuojamose varžybose dalyvaujantiems žirgams

»2023 metų žemaitukų reitingo taškai karietinio važiavimo disciplinoje

»2023 metų žemaitukų reitingo taškai konkūro disciplinoje

»2023 metų žemaitukų reitingo taškai ištvermės disciplinoje

»2023 metų kumelių vertinimų rezultatai

»„Nykstančių Lietuvos senųjų veislių gyvulių ir naminių paukščių išsaugojimas“ įgyvendinimo taisyklės

»Prašymas dalyvauti veisimo programoje

»Žemaitukų veislės arklių veisimo programa 2019-2024 metams

»Kompleksinių eržilų vertinimų-bandymų rezultatai (2023 05 03, Raudondvaris, Radviliškio r.)

»2022 metų žemaitukų reitingo taškai lygiųjų lenktynių disciplinoje

»2022 metų žemaitukų reitingo taškai konkūro disciplinoje

»2022 metų žemaitukų reitingo taškai ištvermės disciplinoje

»2022 metų kumelių vertinimų rezultatai

»Kompleksinių eržilų vertinimų-bandymų rezultatai (2022-10-12, Riešė, Vilniaus r.)

»Kompleksinių eržilų vertinimų-bandymų rezultatai (2022-05-19, Raudondvaris, Radviliškio r.)

»2021 metų žemaitukų reitingo taškai lygiųjų lenktynių disciplinoje

»2021 metų žemaitukų reitingo taškai konkūro disciplinoje

»2021 metų žemaitukų reitingo taškai ištvermės disciplinoje

»2021 metų kumelių vertinimų rezultatai

»Kompleksinių eržilų vertinimų bandymų rezultatai (2021 11 09, Riešė)

»Kompleksinių eržilų vertinimų bandymų rezultatai (2021 05 20, Raudondvaris)

»2020 metų konkūrinio jojimo žirgų reitingai
»2020 metų ištvermės jojimo žirgų reitingai
»Žemaitukų reitingavimo taisyklės 2021
»NMA atmintinė dėl įsipareigojimų vykdymų 2021 03 08
»2020 metų kumelių vertinimų rezultatai
»Kompleksinių eržilų vertinimų-bandymų rezultatai (2020 10 07, Riešė, Vilniaus r.)
»Eržilų kompleksinių vertinimų – bandymų rezultatai (2020 05 27, Raudondvaris)
»Licencijuoti žemaitukų veislės eržilai (atnaujinta 2020 02 14) II dalis
»Licencijuoti žemaitukų veislės eržilai (atnaujinta 2020 02 14) I dalis 
»Kumelių vertinimų rezultatai (2019 metų) 1 dalis  2 dalis  3 dalis  4 dalis
»Kompleksinių eržilų vertinimų-bandymų režultatai (2019 05 16, Raudondvaris, Radviliškio r.)
»Kompleksinių eržilų vertinimų-bandymų rezultatai (2018 11 29, Riešė, Vilniaus r.
»Žemaituku veislės žirgų vertinimų duomenys (atnaujinta 2018 02 01)
»Licencijuoti žemaitukų veislės eržilai (atnaujinta 2018 03 14)
»2016 metais licencijuotų eržilų sąrašas

2015m. ŽAAA renginių sąrašas

ŽEMAITUKŲ VEISLĖS LICENCIJUOTŲ ERŽILŲ SĄRAŠAS 2013-01-01

Jaunų žirgų auginimo ir treniravimo technologijos.Kursai RTVMC Šeduvos TVM skyriuje

Žirgininkystės pagrindų (34 val.) ir žirgų veislininkystės technologijų (24 val.) mokymų grafikas Kreiptis tel. nr.8 622 47950, Justina Levenauskienė

RADVILIŠKIO TECHNOLOGIJŲ IR VERSLO MOKYMO CENTRO ŠEDUVOS TECHNOLOGIJŲ IR VERSLO MOKYMO SKYRIUS KVIEČIA MOKYTIS Žirgininkystės verslo darbuotojas

NACIONALINIŲ VEISLIŲ IŠSAUGOJIMO AKTUALIJOS: ŽEMAITUKAI IR LIETUVIŲ SKALIKAI

Žemaitukų veislės arklių ir jų augintojų daugėja, tačiau gerų, veislei licencijuotų eržilų nėra daug. Sudarant veisimo planus (jie pateikiami žemiau teksto), tenka svarstyti atvejus, kai reikalingas eržilas iš kitos bandos, žirgyno, tačiau kumelių savininkas nėra ištyręs savo bandos ligų atžvilgiu, nėra suvakcinavęs nuo gripo, jo arklių laikymo sąlygos nėra paruoštos veislinio eržilo saugiam laikymui. Todėl visi , pretenduojantys į gerus veislinius eržilus, pirmiausia turi pasirūpinti savo bandos ir šių eržilų saugumu, sveikata. Tam užtikrinti reikalinga kasmet savo bandos arklių kraują nuvežti į Nacionalinį maisto ir veterinarijos rizikos vertinimo institutą Vilniuje (adresu: J. Kairiūkščio g. 10, tel.8-5 2780470 ) ir patikrinti ligų atžvilgiu. Taip pat kasmet vakcinuoti nuo gripo. Pasirūpinti tvirtais ir saugiais gardais atvežtiems eržilams, gera jų priežiūra.

Pateikiamas šiuo metu veisimui tinkamų licencijuotų eržilų sąrašas bei jų suskirstymas pagal linijas ir individualūs selekciniai planai 2012 metams. Vilniaus žirgyno žemaitukų bandai planą parengė žirgyno zootechnikė Nemira Stašienė, kitiems augintojams – Valė Macijauskienė. Planai yra rekomendacinio pobūdžio, parenkant augintojo gyvenamai vietai  ir kumelių kilmei bei savybėms tinkamiausią eržilą ar keletą jų, arba nurodomos negiminingos, mažiau giminingos linijos, iš kurių pats savininkas gali rinktis eržilus. Pasikeitus kumelės savininkui daugeliu atvejų galimą parinkti kitą arčiau esantį eržilą.Kai kurie patyrę augintojai , žinodami geriausius eržilus , nesibaimina įveikti didesnius atstumus ir nuveža savo kumeles pas norimą eržilą. Mažiau patyrusius kviečiame iškilusius klausimus derinti tel. 8 616 47857 arba el. p. zemaitukai@lgi.lt.
Primename visiems augintojams, kad kergiant nelicencijuotais eržilais, t.y. nesilaikant žemaitukų selekcijai būtinų taisyklių, gautų kumeliukų dokumentai bus išduodami tokia kaina, kaip ne asociacijos nariams, t.y. po 150 litų tiek už kilmės sertifikatą, tiek už pasą. Suporavus veislinę žemaitukę su kitos veislės eržilu, gautas prieauglis į žemaitukų registrą nebus įtraukiamas ir žemaitukų veislei nepriskiriamas dėl selekcinio plano nesilaikymo ir nepageidaujamo kraujo ar savybių įliejimo.
Dėl arklių ženklinimo mikročipais (vieno mikročipo kaina – 13 litų ŽAAA būstinėje, galima užsisakyti  ir persiųsime paštu)  kreiptis į savo zonos vet .gydytojus , dėl žymių aprašymo, AŽ – formos pildymo kreiptis į šiuos asmenis regionuose:
1. Saulė Čepaitienė
(Radviliškio r., tel. 8 683 39885);
2. Vidas Kūlokas
(Kauno r., tel. 8 686 10342);
3. Nemira Stašienė
(Vilniaus r., tel. 8 674 23770);
4. Dainius Paičius
(Joniškio r., tel. 8 616 06341);
5. Petras Vainauskas
(Kelmės r., tel. 8 621 46939).